RaukR 2023 • Advanced R for Bioinformatics
27-Jun-2023

Everything works and produces seemingly valid output that is WRONG!
IMHO those are the hardest 💀 to debug!
stopifnot(y <= 75)[1] 0.1 0.2 0.3 0.4 0.5 0.6 0.7 0.8 0.9
[1] FALSE FALSE FALSE FALSE FALSE FALSE FALSE FALSE FALSE
[1] FALSE FALSE FALSE FALSE TRUE FALSE FALSE FALSE FALSE
[1] 0
[1] -1.110223e-16
💀 Beware of floating point arithmetic! 💀
Comparing floating point numbers:
double.eps double.neg.eps double.xmin double.xmax double.base
2.220446e-16 1.110223e-16 2.225074e-308 1.797693e+308 2.000000e+00
double.digits
5.300000e+01
Let us generate some errors:
input <- c(1, 10, -7, -2/5, 0, 'char', 100, pi, NaN)
for (val in input) {
(paste0('Log of ', val, 'is ', log10(val)))
}Error in log10(val): non-numeric argument to mathematical function

So, how to handle this mess?
try[1] "Log of 1 is 0"
[2] "Log of 10 is 1"
[3] "Log of -7 is NaN"
[4] "Log of -0.4 is NaN"
[5] "Log of 0 is -Inf"
[6] "Log of char is NA"
[7] "Log of 100 is 2"
[8] "Log of 3.14159265358979 is 0.497149872694133"
[9] "Log of NaN is NaN"
tryCatch block:[1] "Log of 1 is 0"
[1] "Log of 10 is 1"
[1] "Warning! Negative argument supplied. Negating."
[1] "Log of -7 is 0.845098040014257"
[1] "Warning! Negative argument supplied. Negating."
[1] "Log of -0.4 is -0.397940008672038"
[1] "Log of 0 is -Inf"
[1] "Log of NA is NA"
[1] "Log of 100 is 2"
[1] "Log of 3.14159265358979 is 0.497149872694133"
[1] "Log of NaN is NaN"
stop() function that:
error.print statements
Hint: Last empty line brings you back to the environments menu.
Error in log10(x): non-numeric argument to mathematical function
> traceback()
2: f(x) at #2
1: g("test")
traceback() shows what were the function calls and what parameters were passed to them when the error occurred.
Let us define a new function h(x, y):
Now, we can use debug() to debug the function in a step-by-step manner:

proc.time()Profiling is the process of identifying memory and time bottlenecks 🍶 in your code.
user time – CPU time charged for the execution of user instructions of the calling process,system time – CPU time charged for execution by the system on behalf of the calling process,elapsed time – total CPU time elapsed for the currently running R process.system.time() user system elapsed
0.125 0.006 0.132
user system elapsed
0.230 0.005 0.235
These 4 functions fill a large vector with values supplied by function f.
1 – loop without memory allocation.
But it is maybe better to use…
vectorization!
3 – vectorized loop without memory allocation.
| fn | user.self | sys.self | elapsed |
|---|---|---|---|
| fn1 | 7.007 | 1.563 | 8.570 |
| fn2 | 0.262 | 0.015 | 0.276 |
| fn3 | 0.001 | 0.000 | 0.001 |
| fn4 | 0.001 | 0.000 | 0.000 |
The system.time() function is not the most accurate though. During the lab, we will experiment with package microbenchmark.
We can also do a bit more advanced profiling, including the memory profiling, using, e.g. Rprof() function.
And let us summarise:
| self.time | self.pct | total.time | total.pct | mem.total | |
|---|---|---|---|---|---|
| “print.default” | 2.84 | 59.92 | 2.84 | 59.92 | 2.8 |
| “eval” | 0.82 | 17.30 | 1.64 | 34.60 | 703.2 |
| “runif” | 0.63 | 13.29 | 0.63 | 13.29 | 275.9 |
| “fun_fill_loop2” | 0.24 | 5.06 | 1.89 | 39.87 | 872.6 |
| “parent.frame” | 0.08 | 1.69 | 0.08 | 1.69 | 48.5 |
| “is.list” | 0.04 | 0.84 | 0.04 | 0.84 | 10.5 |
| “is.pairlist” | 0.04 | 0.84 | 0.04 | 0.84 | 0.0 |
| “baseenv” | 0.03 | 0.63 | 0.03 | 0.63 | 6.4 |
| “close.connection” | 0.01 | 0.21 | 0.01 | 0.21 | 0.0 |
| “findCenvVar” | 0.01 | 0.21 | 0.01 | 0.21 | 1.5 |
profr packageThere are also packages available that enable even more advanced profiling:
This returns a table that can be visualised:
| level | g_id | t_id | f | start | end | n | leaf | time | source |
|---|---|---|---|---|---|---|---|---|---|
| 1 | 1 | 1 | table | 0.00 | 0.46 | 1 | FALSE | 0.46 | base |
| 1 | 2 | 1 | cb | 0.46 | 0.48 | 1 | FALSE | 0.02 | NA |
| 2 | 1 | 1 | sort | 0.00 | 0.04 | 1 | FALSE | 0.04 | base |
| 2 | 2 | 1 | factor | 0.04 | 0.46 | 1 | FALSE | 0.42 | base |
| 2 | 3 | 1 | tryCatch | 0.46 | 0.48 | 1 | FALSE | 0.02 | base |
| 3 | 1 | 1 | rnorm | 0.00 | 0.02 | 1 | TRUE | 0.02 | stats |
| 3 | 2 | 1 | sort.default | 0.02 | 0.04 | 1 | FALSE | 0.02 | base |
| 3 | 3 | 1 | unique | 0.04 | 0.28 | 1 | FALSE | 0.24 | base |
| 3 | 4 | 2 | tryCatchList | 0.46 | 0.48 | 1 | FALSE | 0.02 | NA |
| 4 | 1 | 1 | sort.int | 0.02 | 0.04 | 1 | FALSE | 0.02 | base |
| 4 | 2 | 1 | unique.default | 0.04 | 0.28 | 1 | TRUE | 0.24 | base |
| 4 | 3 | 2 | tryCatchOne | 0.46 | 0.48 | 1 | FALSE | 0.02 | NA |
| 5 | 1 | 1 | order | 0.02 | 0.04 | 1 | TRUE | 0.02 | base |
| 5 | 2 | 2 | doTryCatch | 0.46 | 0.48 | 1 | FALSE | 0.02 | NA |
| 6 | 1 | 1 | inspect_env | 0.46 | 0.48 | 1 | FALSE | 0.02 | NA |
| 7 | 1 | 1 | lapply | 0.46 | 0.48 | 1 | FALSE | 0.02 | base |
| 8 | 1 | 1 | FUN | 0.46 | 0.48 | 1 | FALSE | 0.02 | NA |
| 9 | 1 | 1 | scalar | 0.46 | 0.48 | 1 | FALSE | 0.02 | NA |
| 10 | 1 | 1 | trimws | 0.46 | 0.48 | 1 | FALSE | 0.02 | base |
| 11 | 1 | 1 | mysub | 0.46 | 0.48 | 1 | FALSE | 0.02 | NA |
| 12 | 1 | 1 | sub | 0.46 | 0.48 | 1 | FALSE | 0.02 | base |
| 13 | 1 | 1 | is.factor | 0.46 | 0.48 | 1 | FALSE | 0.02 | base |
| 14 | 1 | 1 | mysub | 0.46 | 0.48 | 1 | FALSE | 0.02 | NA |
| 15 | 1 | 1 | sub | 0.46 | 0.48 | 1 | FALSE | 0.02 | base |
| 16 | 1 | 1 | is.factor | 0.46 | 0.48 | 1 | FALSE | 0.02 | base |
| 17 | 1 | 1 | try_capture_str | 0.46 | 0.48 | 1 | FALSE | 0.02 | NA |
| 18 | 1 | 1 | tryCatch | 0.46 | 0.48 | 1 | FALSE | 0.02 | base |
| 19 | 1 | 1 | tryCatchList | 0.46 | 0.48 | 1 | FALSE | 0.02 | NA |
| 20 | 1 | 1 | tryCatchOne | 0.46 | 0.48 | 1 | FALSE | 0.02 | NA |
| 21 | 1 | 1 | doTryCatch | 0.46 | 0.48 | 1 | FALSE | 0.02 | NA |
| 22 | 1 | 1 | capture_str | 0.46 | 0.48 | 1 | FALSE | 0.02 | NA |
| 23 | 1 | 1 | paste0 | 0.46 | 0.48 | 1 | FALSE | 0.02 | base |
| 24 | 1 | 1 | utils::capture.output | 0.46 | 0.48 | 1 | FALSE | 0.02 | NA |
| 25 | 1 | 1 | withVisible | 0.46 | 0.48 | 1 | FALSE | 0.02 | base |
| 26 | 1 | 1 | …elt | 0.46 | 0.48 | 1 | FALSE | 0.02 | NA |
| 27 | 1 | 1 | utils::str | 0.46 | 0.48 | 1 | FALSE | 0.02 | NA |
| 28 | 1 | 1 | str.default | 0.46 | 0.48 | 1 | FALSE | 0.02 | NA |
| 29 | 1 | 1 | cat | 0.46 | 0.48 | 1 | FALSE | 0.02 | base |
| 30 | 1 | 1 | formObj | 0.46 | 0.48 | 1 | FALSE | 0.02 | NA |
| 31 | 1 | 1 | maybe_truncate | 0.46 | 0.48 | 1 | FALSE | 0.02 | NA |
| 32 | 1 | 1 | nchar.w | 0.46 | 0.48 | 1 | FALSE | 0.02 | NA |
| 33 | 1 | 1 | paste | 0.46 | 0.48 | 1 | FALSE | 0.02 | base |
| 34 | 1 | 1 | format.fun | 0.46 | 0.48 | 1 | FALSE | 0.02 | NA |
| 35 | 1 | 1 | format | 0.46 | 0.48 | 1 | FALSE | 0.02 | base |
| 36 | 1 | 1 | format.default | 0.46 | 0.48 | 1 | FALSE | 0.02 | base |
| 37 | 1 | 1 | prettyNum | 0.46 | 0.48 | 1 | FALSE | 0.02 | base |
| 38 | 1 | 1 | is.na | 0.46 | 0.48 | 1 | TRUE | 0.02 | base |
profr package cted.We can also plot the results using – proftools package-
profvisYet another nice way to profile your code is by using Hadley Wickham’s profvis package:
profvis cted.We should forget about small efficiencies, say about 97% of the time: premature optimization is the root of all evil. Yet we should not pass up our opportunities in that critical 3%. A good programmer will not be deluded into complacency by such reasoning, he will be wise to look carefully at the critical code; but only after that code has been identified.
– Donald Knuth

source: http://www.xkcd/com/1319

source: http://www.xkcd/com/1205
*apply family instead of loops etc.,BLAS for linear algebra,bigmemory package,multicore, snowfuturesdata.table or tibble instead of data.frameCheck where the objects are in the memory:
What happens if we modify a value in one of the matrices?
No memory allocation
With memory allocation
f2 <- function(to = 3, silent = FALSE) {
tmp <- vector(length = to, mode='numeric')
for (i in 1:to) {
a1 <- address(tmp)
tmp[i] <- i
a2 <- address(tmp)
if(!silent) { print(paste0(a1, " --> ", a2)) }
}
}
f2()[1] "0x129363bb8 --> 0x129363bb8"
[1] "0x129363bb8 --> 0x129363bb8"
[1] "0x129363bb8 --> 0x129363bb8"
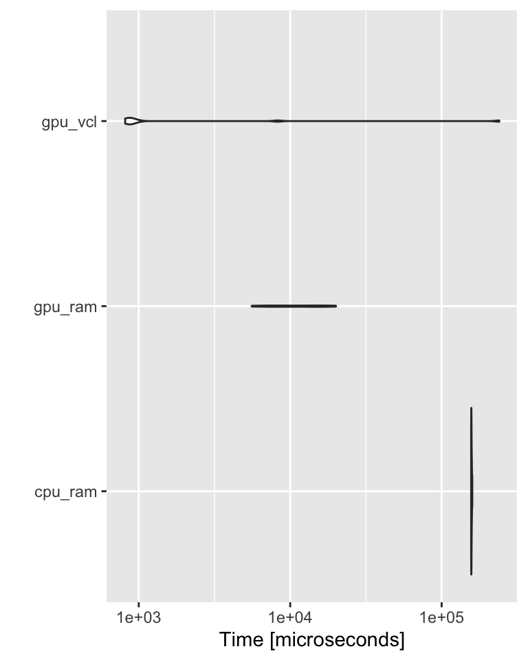
A = matrix(rnorm(1000^2), nrow=1000) # stored: RAM, computed: CPU
B = matrix(rnorm(1000^2), nrow=1000)
gpuA = gpuMatrix(A, type = "float") # stored: RAM, computed: GPU
gpuB = gpuMatrix(B, type = "float")
vclA = vclMatrix(A, type = "float") # stored: GPU, computed: GPU
vclB = vclMatrix(B, type = "float")
bch <- microbenchmark(
cpu_ram = A %*% B,
gpu_ram = gpuA %*% gpuB,
gpu_vcl = vclA %*% vclB,
times = 10L) More on Charles Determan’s Blog.
parallelEasiest to parallelize is lapply:
_
platform aarch64-apple-darwin20.0.0
os darwin20.0.0
major 4
minor 2.2
2023 • SciLifeLab • NBIS • RaukR