2024-10-16: Dimitriadou & Lanitis, 2024¶
- Discussion leader: Stephan Nylinder
- Date: 2024-10-16
- Paper: Dimitriadou, Eleni, and Andreas Lanitis. "Evaluating the impact of an automated body language assessment system." Education and Information Technologies (2024): 1-31.
Notes by Richel¶
My questions¶
- How would you summarize the paper?
- How would you describe the quality of the paper?
- Does this paper convince you on the importance of body language on teaching? If yes, how important do you think it is?
- Does this paper convince you that their tool is useful?
- Does this paper convince you that their tool works correctly?
- Do you think the statistics in this paper are well-done?
My scribbles¶
First sentence already is deceptive: 'Body language is an important aspect in educational settings, directly influencing educators’ effectiveness in message delivery, classroom management, and student interactions (Benzer, 2012).'. This references a paper called 'Teachers’ Opinions about the Use of Body Language', where that ask 100 teachers if they think body language is important. 'When asked, teachers think body language is an important aspect in educational settings, with possible effects on influencing educators’ effectiveness in message delivery, classroom management, and student interactions'.
Sample size of 9
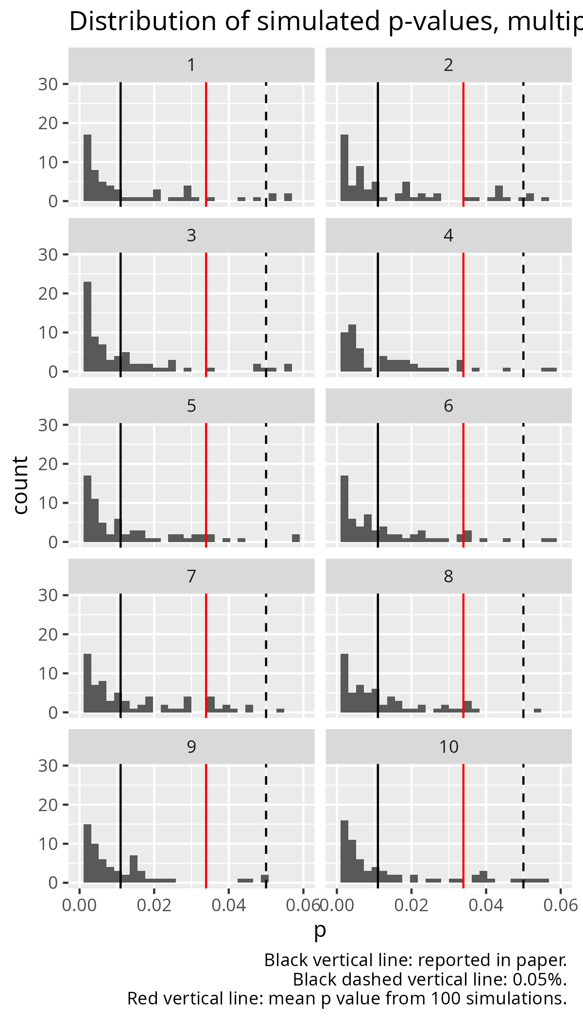
Table 5: 'Do you think the application is useful for improving the lecture quality?' before and after using the tool. The p value cannot be reproduced:

Reproducing the p values as found in Table 5. Simulated disctributions did follow a normal distribution. We know that the data is not perfectly normally distributed. These simulations show that the data is skewed favorably for the test and/or that the test is done incorrectly: we need the data to conclude.
However, the Normality is accepted only for the factor “Satisfaction from feedback” for the first phase (p = 0.100) and second phase (p = 0.175).
It does not describe what a grade of, say 4.5, means: is this a 4.5 out of 7 or 4.5 out of 10?
Section 2.2, 2nd paragraph:
Recognizing and responding to these cues can sig- nificantly enhance the educational experience (Miller, 2005; Κucuk 2023; Hussain et al., 2022). Teachers who effectively use body language create a positive and attractive environment (Kucuk 2023) and students showing higher levels of satisfaction for the lesson (Caswell & Neill, 2003).
Looking at the references:
- Hussain, A., Badshah Rehman, D. M. M. S., Abdul Naseer, D. S. B., &
Muhammad, A. (2022). Introduction
and development of body language and its importance in education (An Overview
In The Context Of
Contemporary And Islamic Teachings). Journal of Positive School Psychology,
6(10), 4355–4362
- 'In the paper under investigation, the introduction, evolution and necessity and importance of body language have been evaluated in the light of contemporary and Islamic teachings.': they use Quran as a source of wisdom
- Miller, P. W. (2005). Body language in the classroom. Techniques:
Connecting Education and Careers, 80(8), 28–30.
- This paper is not available anymore, main page is https://eric.ed.gov/?id=EJ720792
- Kucuk, T. (2023). The power of body language in education:
A study of teachers’ perceptions
- This is a survey done on teachers
- Caswell, C., & Neill, S. (2003). Body language for competent teachers. Routledge.
- This book can only be purchased, not downloaded from ub.uu.se, nor be found on SciHub

Figure 3 problems
Also, in the discussion:
Body language plays a crucial role in communication, as it can convey emotions, engagement, and enthusiasm, which are essential for effective teaching (Tok & Temel, 2014).
This refers to: Tok, Mehmet, and Hasan Temel. "Body language scale: Validity and reliability study." [Some ?Turkish journal name] 10.1 (2014): 103-122. This study makes a 'Body language scale' with 23 indicators with a 5-point scale table. That paper does not state how 'essential [body language is] for effective teaching'. Instead, here is a quote:
The education processes require effective use of communication [1]. It has been thought [2] that the evaluation of these processes advantageously is connected substantially with the quality of communication between the teacher and student [3] (Bolat, 1996).
- [1] No reference here
- [2] 'has been thought' is quite the qualifier
- [3] this is only about the communication quality in general